नाभिकीय चुंबकीय अनुनाद भौतिकी का एक महत्वपूर्ण सिद्धांत है, जिसमें परमाणु के नाभिक को शक्तिशाली चुंबकीय क्षेत्र और रेडियो तरंगों के प्रभाव में अध्ययन किया जाता है। इसका उपयोग चिकित्सा निदान तथा पदार्थों की सूक्ष्म संरचना को समझने में व्यापक रूप से किया जाता है।
नाभिकीय चुंबकीय अनुनाद (Nuclear Magnetic Resonance – NMR)
नाभिकीय चुंबकीय अनुनाद (NMR) एक स्पेक्ट्रोस्कोपिक तकनीक है जो नाभिकीय प्रचक्रण (Nuclear Spins) की बाहरी चुंबकीय क्षेत्र और रेडियो-आवृत्ति तरंगों के साथ अंतःक्रिया को मापती है।
- NMR तकनीक की खोज 1946 में फेलिव ब्लोच व एडवर्ड परसेल ने की थी।
- इस तकनीक के चिकित्सकीय उपयोग (MRI) की शुरूआत रेमण्ड केमेडियन द्वारा की गयी थी।
NMR के मौलिक सिद्धांत
नाभिकीय प्रचक्रण (Nuclear Spin):
- परमाणु के ऋणावेशित e- नाभिक की परिक्रमा करने के साथ-साथ अपने अक्ष पर भी घूर्णन करता है। इसी प्रकार परमाणु का नाभिक जो कि उसमें उपस्थित प्रोटॉन के कारण धनावेशित होता है, वह भी अपने अक्ष पर यादृच्छिक रूप से घूर्णन करता है, इसे Nuclear Spin कहते है।
- गैर-शून्य स्पिन वाले नाभिक छोटे चुंबक की तरह व्यवहार करते हैं और उनके पास एक चुंबकीय आघूर्ण (Magnetic Moment – μ) होता है।
- चुंबकीय आघूर्ण नाभिकीय स्पिन क्वांटम संख्या के सीधे अनुपात में होता है।

बाह्य चुंबकीय क्षेत्र के साथ अंतःक्रिया
- चुंबकीय आघूर्ण, बाह्य चुंबकीय क्षेत्र (Magnetic Field) के साथ अंतःक्रिया करता है और विभिन्न संरेखण (Alignments) के अनुरूप ऊर्जा अवस्थाएँ उत्पन्न करता है।
- चुंबकीय क्षेत्र में रखे जाने पर नाभिक संरेखित हो सकता है:
- समानांतर (Parallel) – चुंबकीय क्षेत्र के अनुरूप (निम्न ऊर्जा अवस्था)।
- प्रतिसमानांतर (Antiparallel) – चुंबकीय क्षेत्र के विपरीत (उच्च ऊर्जा अवस्था)।
- इन अवस्थाओं थोडा सा अंतर होता है, जिससे शुद्ध चुम्बकीयकरण (Net Magnetization) उत्पन्न होता है।

चुंबकीय अनुनाद
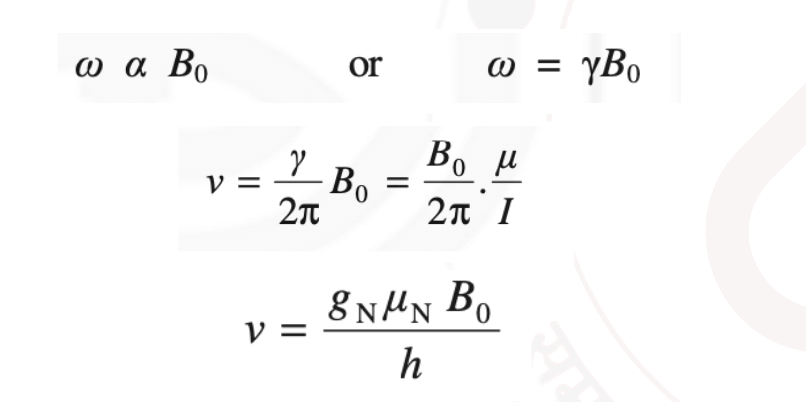
- इन ऊर्जा अवस्थाओं के बीच ऊर्जा अंतर (ΔE) अनुनाद के लिए आवश्यक होता है। जब रेडियो-आवृत्ति (RF) तरंगों को एक ऐसे नाभिक पर डाला जाता है, जिसकी लार्मोर आवृत्ति (Larmor Frequency) से यह मेल खाता हो, तो नाभिक ऊर्जा अवशोषित कर स्पिन दिशा बदल सकता है।
- अवशोषित ऊर्जा नाभिक को कम ऊर्जा अवस्था से उच्च ऊर्जा अवस्था में बदल देती है। (+1/2↔−1/2)। इसे आमतौर पर ‘स्पिन फ्लिप’ के रूप में जाना जाता है।

- ΔE: दो स्पिन अवस्थाओं के बीच ऊर्जा अंतर।
- γ: जाइरोमैग्नेटिक अनुपात ((नाभिक-विशिष्ट स्थिरांक),
- ℏ: अपघटित प्लांक स्थिरांक (Reduced Planck’s Constant)

Relaxation प्रक्रियाएँ
- जब RF पल्स बंद कर दिया जाता है, तो नाभिक निम्न ऊर्जा अवस्था में वापस लौटते हैं, जिससे RF विकिरण उत्सर्जित होता है।
- नाभिक से उत्सर्जित RF संकेतों [मुक्त प्रेरण क्षय (Free Induction Decay – FID)] का पता रिसीवर कॉइल का उपयोग करके लगाया जाता है।
- फूरिएर रूपांतरण (Fourier Transform) की सहायता से इन संकेतों को स्पेक्ट्रम या छवि ( में बदला जाता है।
Relaxation तंत्र:
- उत्तेजना (Excitation) के बाद, नाभिक अपनी संतुलन अवस्था (Equilibrium State) में लौटते हैं, जो दो मुख्य प्रक्रियाओं के माध्यम से होता है:
- T₁ विश्राम (अनुदैर्ध्य विश्राम – Longitudinal Relaxation): वातावरण (lattice) के साथ ऊर्जा विनिमय।
- T₂ विश्राम (अनुप्रस्थ विश्राम – Transverse Relaxation): स्थानीय चुंबकीय क्षेत्र की अंतःक्रियाओं के कारण घूमते हुए नाभिक का विचरण।
- T₁ और T₂ विश्राम समय किसी नमूने के भौतिक और रासायनिक परिवेश की महत्वपूर्ण जानकारी प्रदान करते हैं।
NMR स्पेक्ट्रोस्कोपी के चरण
- Sample तैयारी: Sample को NMR मशीन के भीतर चुंबकीय क्षेत्र में रखा जाता है।
- चुंबकीय संरेखण: नाभिक चुंबकीय क्षेत्र के अनुसार संरेखित (Align) होते हैं।
- RF उत्तेजना (RF Excitation): विशिष्ट रेडियो-आवृत्ति (RF) पल्स लगाया जाता है, जिससे नाभिक ऊर्जावान अवस्था में चले जाते हैं।
- संकेत उत्सर्जन (Signal Emission): नाभिक विश्राम करते हैं, तो वे RF संकेत उत्सर्जित करते हैं, जिन्हें डिटेक्टर द्वारा रिकॉर्ड किया जाता है।
- डेटा विश्लेषण: प्राप्त संकेतों को स्पेक्ट्रम में परिवर्तित किया जाता है, जो आणविक संरचना और भौतिक गुणों की जानकारी प्रदान करता है।

स्पिन क्वांटम संख्या (Spin Quantum Number):
- किसी कण का स्पिन (Spin) एक क्वांटम संख्या द्वारा निरूपित किया जाता है, जिसे I (नाभिकीय स्पिन क्वांटम संख्या) कहा जाता है।
- स्पिन क्वांटम संख्या (I) यह निर्धारित करती है कि चुंबकीय क्षेत्र में नाभिक कितने संभावित संरेखण (Orientations) ग्रहण कर सकता है।
- [क्वांटीकरण / Quantisation → (2I + 1) अभिविन्यास]
- I = ½ ((जैसे ¹H, ¹³C): दो ऊर्जा स्तर (+1/2, −1/2).
- I = 1 (जैसे ²H): तीन ऊर्जा स्तर
उदाहरण: I = 1⁄2 नाभिक के लिए ऊर्जा स्तर इस प्रकार दिए गए हैं

परंपरागत रूप से, m = 1⁄2 के साथ ऊर्जा स्तर (या अवस्था) को α के रूप में दर्शाया जाता है और कभी-कभी इसे ‘स्पिन अप’ के रूप में वर्णित किया जाता है और m = – 1⁄2 के साथ अवस्था को β के रूप में दर्शाया जाता है और इसे ‘स्पिन डाउन’ के रूप में वर्णित किया जाता है।
स्पिन फ्लिप: जब कोई उपयुक्त रेडियो-आवृत्ति (RF) विकिरण लगाया जाता है, तो नाभिक की अवस्था α (निम्न ऊर्जा) से β (उच्च ऊर्जा) में परिवर्तित हो सकती है।

जब कोई घूमता हुआ नाभिक बाह्य चुंबकीय क्षेत्र में रखा जाता है, तो यह चुंबकीय क्षेत्र की धुरी के चारों ओर दो प्रकार से गति कर सकता है: चुंबकीय क्षेत्र के साथ संरेखण (Low Energy State), चुंबकीय क्षेत्र के विपरीत संरेखण (High Energy State)।

लार्मर आवृत्ति (Larmor Frequency): जिस आवृत्ति पर नाभिकीय चुंबकीय आघूर्ण, चुंबकीय क्षेत्र के चारों ओर घूमता (Precess) है, उसे लार्मोर आवृत्ति कहते हैं।

इस प्रकार, घूमते हुए नाभिक (Spinning Nucleus) की प्रेसेशनल आवृत्ति (Precessional Frequency) ठीक उसी विद्युतचुंबकीय विकिरण की आवृत्ति के बराबर होती है, जो एक नाभिकीय स्पिन अवस्था से दूसरी अवस्था में संक्रमण (Transition) उत्पन्न करने के लिए आवश्यक होती है।
उदाहरण – 1 टेस्ला (T) चुंबकीय क्षेत्र में हाइड्रोजन (¹H) नाभिक की अनुनाद आवृत्ति ~42.58 MHz होती है।
NMR-सक्रिय नाभिक
- गैर-शून्य स्पिन (Non-Zero I): NMR -सक्रिय नाभिक वे होते हैं जिनका नाभिकीय स्पिन (I) शून्य नहीं होता। इन नाभिकों में प्रोटॉन और/या न्यूट्रॉन की संख्या विषम होती है।
- सामान्य NMR-सक्रिय नाभिक::
- प्रोटॉन (¹H) – सबसे अधिक प्रयुक्त, क्योंकि यह प्रचुर मात्रा में उपलब्ध और संवेदनशील होता है।
- कार्बन-13 (¹³C) – जैविक और कार्बनिक यौगिकों के विश्लेषण के लिए उपयोगी।
- अन्य नाभिक:: नाइट्रोजन-15 (¹⁵N), फॉस्फोरस-31 (³¹P), फ्लोरीन-19 (¹⁹F)
NMR-निष्क्रिय नाभिक (NMR-Inactive Nuclei)शून्य स्पिन (Zero I):
शून्य स्पिन वाले नाभिक (जैसे, कार्बन-12, 12C – प्रोटॉन और न्यूट्रॉन की सम संख्या) में चुंबकीय आघूर्ण नहीं होता है और वे NMR-निष्क्रिय होते हैं। इन नाभिकों का NMR का उपयोग करके सीधे पता नहीं लगाया जा सकता है।
NMR को प्रभावित करने वाले कारक
- चुंबकीय क्षेत्र की तीव्रता: उच्च चुंबकीय क्षेत्र → बेहतर रिज़ॉल्यूशन और तेज़ एवं स्पष्ट संकेत उत्पन्न करता है।
- तापमान: तापमान आणविक गति को प्रभावित करता है, जिससे NMR संकेतों में बदलाव आ सकता है।
- रासायनिक वातावरण (रासायनिक विचलन) : विभिन्न रासायनिक वातावरण में नाभिक अलग-अलग चुंबकीय क्षेत्रों का अनुभव करते हैं, जिसके कारण अनुनाद आवृत्ति में बदलाव होता है।
- युग्मन: स्पिन-स्पिन अंतःक्रिया के कारण संकेत एकाधिक उप-शिखरों में विभाजित हो जाते हैं।
- सांद्रता: अधिक सांद्रता → संकेतों की तीव्रता बढ़ाती है। हालांकि, अत्यधिक सांद्रता के कारण सिग्नलों का ओवरलैप होने से स्पेक्ट्रम चौड़ा हो सकता है।
- न्यून प्रचुरता वाले नाभिक के लिए सीमित संवेदनशीलता: कुछ नाभिकों (जैसे कार्बन-13 या नाइट्रोजन-15) के लिए NMR संवेदनशीलता कम हो सकती है, जिसके लिए बड़ी मात्रा में नमूना या लंबे समय तक स्कैनिंग की आवश्यकता होती है।
- विश्राम समय (T₁ and T₂)
- संक्षिप्त T₂ मान (Short T₂ Values) → व्यापक संकेत और कम रिज़ॉल्यूशन।
- दीर्घ T₂ मान (Long T₂ Values) → संकीर्ण संकेत और उच्च रिज़ॉल्यूशन ।
नाभिकीय चुंबकीय अनुनाद (NMR) के अनुप्रयोग
1.रसायन विज्ञान
- आणविक संरचना निर्धारण: रासायनिक विचलन, स्पिन-स्पिन युग्मन, और संकेत एकीकरण का विश्लेषण करके वैज्ञानिक आणविक कनेक्टिविटी और कार्यात्मक समूह की पहचान कर सकते हैं।
- ¹H NMR (प्रोटॉन NMR): अणु में हाइड्रोजन वातावरण की पहचान करता है।
- ¹³C NMR (कार्बन-13 NMR): कार्बन कंकाल की मैपिंग के लिए उपयोगी।
- 2D और 3D NMR तकनीकें (जैसे COSY, NOESY, HSQC) परमाणु कनेक्टिविटी और त्रि-आयामी संरचना की विस्तृत जानकारी प्रदान करती हैं।
- परिमाणात्मक विश्लेषण : किसी मिश्रण में किसी विशिष्ट यौगिक की मात्रा का निर्धारण करने के लिए उपयोग किया जाता है।
- अभिक्रिया निगरानी : NMR का उपयोग रासायनिक अभिक्रियाओं की वास्तविक समय में निगरानी के लिए।
2. जैव रसायन
- प्रोटीन संरचना विश्लेषण: NMR का उपयोग विलयन में प्रोटीन, एंजाइम और न्यूक्लिक एसिड की 3डी संरचनाओं को निर्धारित करने के लिए किया जाता है।
- मेटाबोलोमिक्स: रक्त, मूत्र और ऊतकों में चयापचय प्रोफाइलिंग (Metabolic Profiling) के लिए उपयोगी।
- उदाहरण: मधुमेह और कैंसर जैसी बीमारियों में चयापचय परिवर्तनों का अध्ययन।
3. औषधि विज्ञान
- औषधि अभिकल्पना [Design] और विकास:
- NMR का उपयोग दवा अणुओं और उनके लक्ष्य (रिसेप्टर्स, एंजाइम्स) के बीच अंतःक्रियाओं का अध्ययन करने के लिए किया जाता है।
- गुणवत्ता नियंत्रण : दवाओं की शुद्धता और संघटन की पुष्टि के लिए प्रयोग किया जाता है।
4. खाद्य और कृषि विज्ञान
- खाद्य गुणवत्ता नियंत्रण: एनएमआर का उपयोग खाद्य संरचना के विश्लेषण के लिए किया जाता है, जिसमें वसा, शर्करा और प्रोटीन की सांद्रता का निर्धारण करना शामिल है।
- प्रामाणिकता परीक्षण के लिए उपयोग किया जाता है (जैसे, शहद, तेल और दूध में मिलावट का पता लगाना)।
- पानी की मात्रा, pH स्तर और अन्य अवयवों की मात्रा निर्धारित करता है
- वनस्पति मेटाबोलोमिक्स: फसलों की गुणवत्ता, पोषण स्तर और रोग प्रतिरोधक क्षमता में सुधार।
- ऊर्जा क्षेत्र: ईंधन संरचना विश्लेषण और जैव ईंधन के विकास में सहायक।
5. पदार्थ विज्ञान और रसायन
- पॉलीमर और प्लास्टिक:
- लचीलापन, शक्ति और स्थायित्व जैसे गुणों को निर्धारित करने के लिए पॉलिमर की आणविक संरचना और गतिशीलता का विश्लेषण करना।
- उदाहरण: पॉलीथीन और रबर की विशेषताओं का विश्लेषण।
- नैनो-पदार्थ:
- नैनोकणों और आसपास के पदार्थ के बीच परस्पर क्रिया का अध्ययन करना।
- उदाहरण: कार्बन नैनोट्यूब और ग्राफीन की विशेषताओं की जाँच।
- ठोस अवस्था NMR: इस अनुप्रयोग का उपयोग ठोस पदार्थों (जैसे, उत्प्रेरक, सिरेमिक और बैटरी सामग्री) की संरचना और गुणों का अध्ययन करने के लिए किया जाता है।
6. नैदानिक और चिकित्सा अनुप्रयोग
- चुंबकीय अनुनाद इमेजिंग (MRI): MRI, NMR सिद्धांतों पर आधारित एक नैदानिक तकनीक है, यह ऊतकों की विस्तृत छवियाँ बनाने के लिए ¹H NMR संकेतों का उपयोग करता है, जिससे कैंसर, तंत्रिका संबंधी बीमारियों और अस्थि-मांसपेशीय विकार विकारों जैसी स्थितियों का निदान करने में मदद मिलती है।
- इन-विवो NMR: जीवित जीवों में चयापचय मार्गों, न्यूरोट्रांसमीटर स्तरों और अन्य शारीरिक प्रक्रियाओं का विश्लेषण।
- अस्थि घनत्व और खनिज अध्ययन: NMR का उपयोग ऑस्टियोपोरोसिस जैसी बीमारियों का पता लगाने के लिए हड्डियों और अन्य जैविक ऊतकों में खनिज संरचनाओं का विश्लेषण करने के लिए भी किया जाता है।
7. भूविज्ञान और पर्यावरण अध्ययन
- प्रदूषण निगरानी: NMR का उपयोग पर्यावरण प्रदूषकों जैसे कीटनाशकों, प्लास्टिक और अन्य रसायनों के अध्ययन और निगरानी के लिए किया जाता है।
- जल गुणवत्ता विश्लेषण: पानी में घुले हुए कार्बनिक यौगिकों, लवणों, और दूषकों की पहचान।
- उदाहरण: NMR स्पेक्ट्रोस्कोपी का उपयोग करके जल में माइक्रोप्लास्टिक्स का पता लगाना।
- पेट्रोलियम अन्वेषण: चट्टानों के नमूनों का अध्ययन करके छिद्रता, पारगम्यता और तरल पदार्थ की मात्रा का निर्धारण।
- Example: तेल और गैस भंडार के लिए शेल चट्टान संरचनाओं का विश्लेषण
8. फोरेंसिक विज्ञान
- फोरेंसिक रसायन: NMR का प्रयोग फोरेंसिक जांच में अपराध स्थलों पर पाए जाने वाले पदार्थों, जैसे ड्रग्स, जहर और विस्फोटकों की पहचान के लिए किया जा सकता है।
- रक्त, बाल, और अन्य जैविक नमूनों का विश्लेषण।
NMR के लाभ
- ग़ैर-विनाशकारी: नमूने को सुरक्षित रखता है, जिससे भविष्य में विश्लेषण संभव होता है। यह मूल्यवान या दुर्लभ नमूनों, जैसे जैविक ऊतकों, पुरातात्विक कलाकृतियों या मूल्यवान रसायनों के लिए अत्यंत महत्वपूर्ण है।
- उच्च संवेदनशीलता और रिज़ॉल्यूशन: यह उत्कृष्ट रिज़ोल्यूशन प्रदान करता है, जिससे अनुसंधानकर्ता निकट अंतराल वाले सिग्नलों में भी अंतर करने में सक्षम हो जाते हैं।
- प्रत्यक्ष संरचनात्मक निर्धारण: एक्स-रे क्रिस्टलोग्राफी के विपरीत, जिसमें बड़े, उच्च गुणवत्ता वाले क्रिस्टल के निर्माण की आवश्यकता होती है, NMR विलयन में या यहां तक कि ठोस रूप में नमूनों के साथ काम कर सकता है
- परिमाणात्मक विश्लेषण: सटीक सांद्रता माप संभव, किसी अतिरिक्त कैलिब्रेशन की आवश्यकता नहीं।
- जटिल मिश्रणों का विश्लेषण: घटकों को अलग किए बिना विश्लेषण कर सकता है।
- गतिकीय जानकारी: NMR आणविक गतियों का अध्ययन करने में सक्षम है, जिसमें शामिल हैं: प्रोटीन फोल्डिंग, लिगैंड बाइंडिंग, प्रसरण गुणधर्म ।
- अनेक आयामी तकनीकें: आधुनिक NMR तकनीकें जैसे 2डी, 3डी और यहां तक कि 4डी एनएमआर गहन संरचनात्मक और कार्यात्मक अंतर्दृष्टि प्रदान करती हैं।
- चिकित्सा में गैर-आक्रामक: MRI और इन-विवो अध्ययन में उपयोग।
FAQ (Previous year questions)
NMR-सक्रिय नाभिक वे होते हैं जिनका न्यूक्लियर स्पिन (I) शून्य नहीं होता। इन नाभिकों में प्रोटॉन और/या न्यूट्रॉन की विषम संख्या होती है।
NMR-सक्रिय नाभिकों के उदाहरण में शामिल हैं:
प्रोटॉन (1H): NMR में सबसे अधिक इस्तेमाल होने वाला, क्योंकि यह प्रचुर मात्रा में होता है और इसमें संवेदनशीलता अधिक होती है।
कार्बन-13 (13C): कार्बन-13 NMR में उपयोग किया जाता है, विशेष रूप से जैविक यौगिकों के विश्लेषण के लिए।
